品质因数q,品质因数q的计算公式是什么
1、品质因数q的计算公式是什么
实用并联谐振电路求品质因数的公式是Q=R/WL=W*C*R,其中W是角频率,C和L分别是电容和电感,R是电感的等效并联电阻。
简介
系统的Q因子可能会随着应用场合及需求的不同而有大幅的差异。强调阻尼特性的系统(例如防止门突然关闭的阻尼器)其Q因子为⁄2,而时钟、激光或是其他需要强烈共振或是要求频率稳定性的系统其Q因子较高。原子钟、加速器中的超导射频或是光学共振腔的Q因子可以到10^11甚至更高。
Q因子的概念是来自电子工程中,评量一调谐电路或其他振子的“品质”。

2、品质因数q一般多大
品质因数q一般是25。
表明电感线圈损耗的大小,其Q值越大,线圈的损耗越小;反之,其损耗越大。品质因数Q的定义为:当线圈在某一频率的交流电压下工作时,线圈所呈现的感抗和线圈直流电阻的比值。
它可以用公式表达如下:根据使用场合的不同,对品质因数Q的要求也不同。对调谐回路中昀电感线圈,Q值要求较高。
概念分析
根据使用场合的不同,对品质因数Q的要求也不同。对调谐回路中昀电感线圈,Q值要求较高,因为Q值越高,回路的损耗就越小,回路的效率就越高;对耦合线圈来说,Q值可以低一些;而对于低频或高频扼流圈,则可以不做要求。
Q值的提高往往受到一些因素的限制,如导线的直流电阻、线圈骨架的介质损耗、铁心和屏蔽引起的损耗以及高频工作时的集肤效应等。因此,线圈的Q值不可能做得很高,通常Q值为几十至一百,最高也只有四五百。

3、品质因数有哪几种关系表达式是什么
品质因数q是衡量电感器件的主要参数。
是指电感器在某一频率的交流电压下工作时,所呈现的感抗与其等效损耗电阻之比。电感器的Q值越高,其损耗越小,效率越高。
公式:品质因数又可写成Q=2pi*电路中存储的能量/电路一个周期内消耗的能量
通频带BW与谐振频率w0和品质因数Q的关系为:BW=wo/Q,表明,Q大则通频带窄,Q小则通频带宽。Q=ωL/R=1/ωRC[1]其中:Q是品质因素。
4、电路里的Q品质因数的定义
1、rlc串联谐振:谐振时的感抗(或容抗)除以串联电阻等于品质因数q。
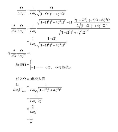
rlc并联谐振:并联电阻除以谐振时的感抗(或容抗)等于品质因数q。
3、品质因数是电学和磁学的量,表示一个储能器件(如电感线圈、电容等)、谐振电路中所储能量同每周期损耗能量之比的一种质量指标;串联谐振回路中电抗元件值等于它的电抗与其等效串联电阻的比值;元件值愈大,用该元件组成的电路或网络的选择性愈佳。

请添加微信号咨询:19071507959
最新更新
推荐阅读
猜你喜欢
关注我们

留学规划
留学考试
留学指南
留学攻略
留学生活
留学信息
留学专业
留学签证
关于我们
网站首页






